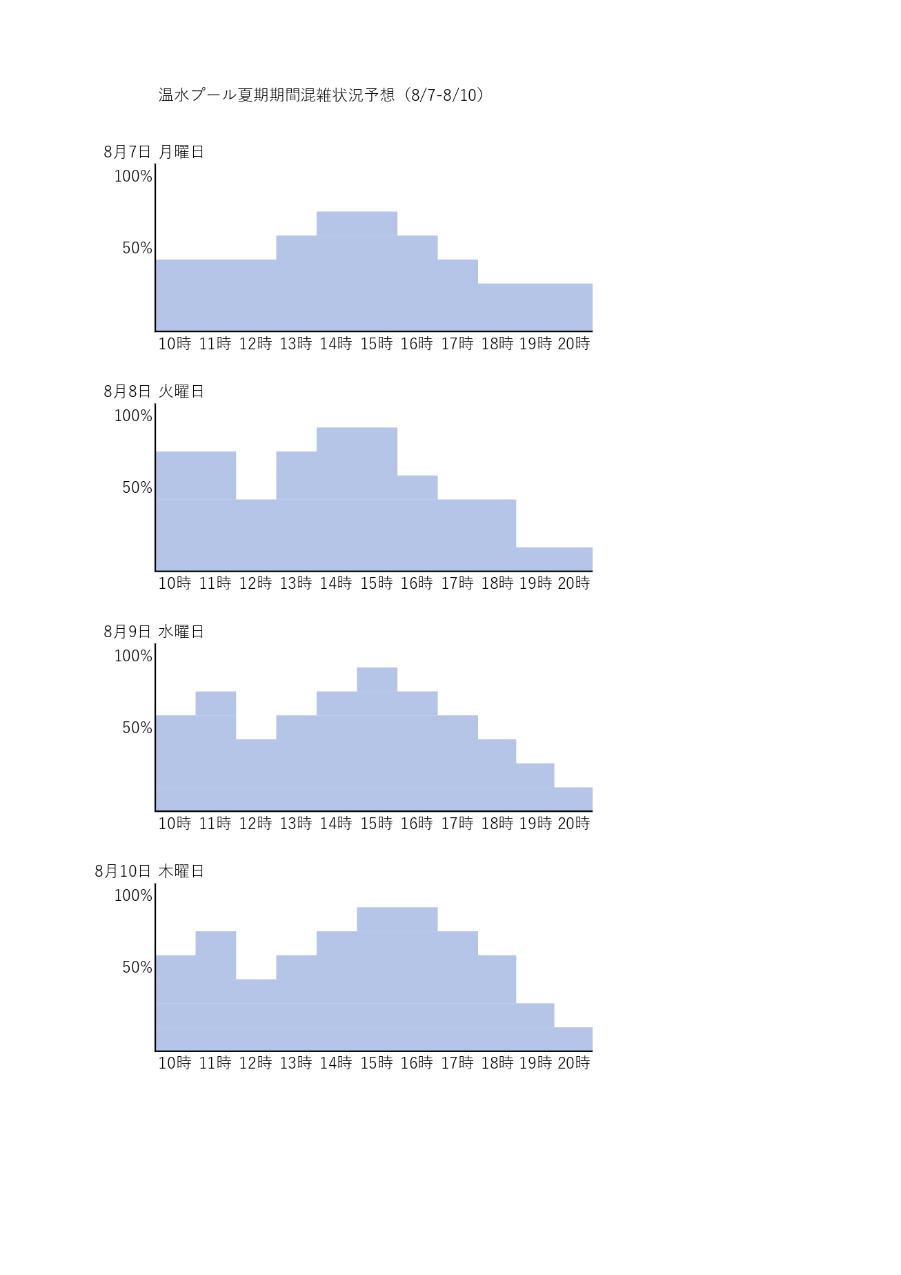
2023.08.07 お知らせ 夏期学校休業期間の時間混雑予想(8/07-8/10) 土日には待ち時間が発生することがあります。 更衣室のロッカーキーが出払うと、帰ってくるまでお待ちいただくことがあります。 混雑状況を更新しました 一覧に戻る