プラザ掛洞 岐阜市 体力増進・ダイエット・腰痛・リハビリ・スイミング教室・温水プール
お知らせ・トピックス
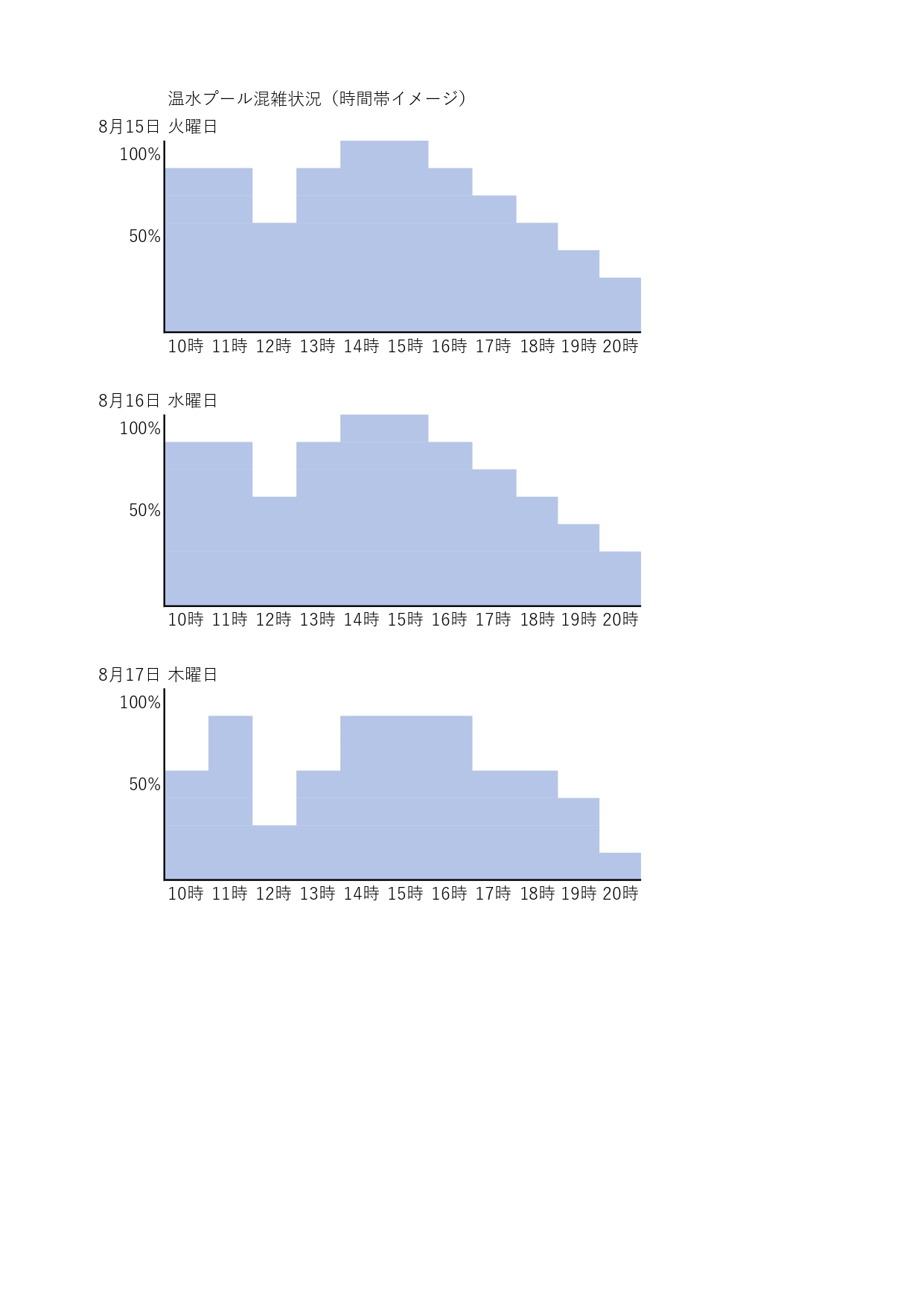
更衣室のロッカーキーが出払うと、帰ってくるまでお待ちいただくことがあります。
混雑状況を更新しました
MENU