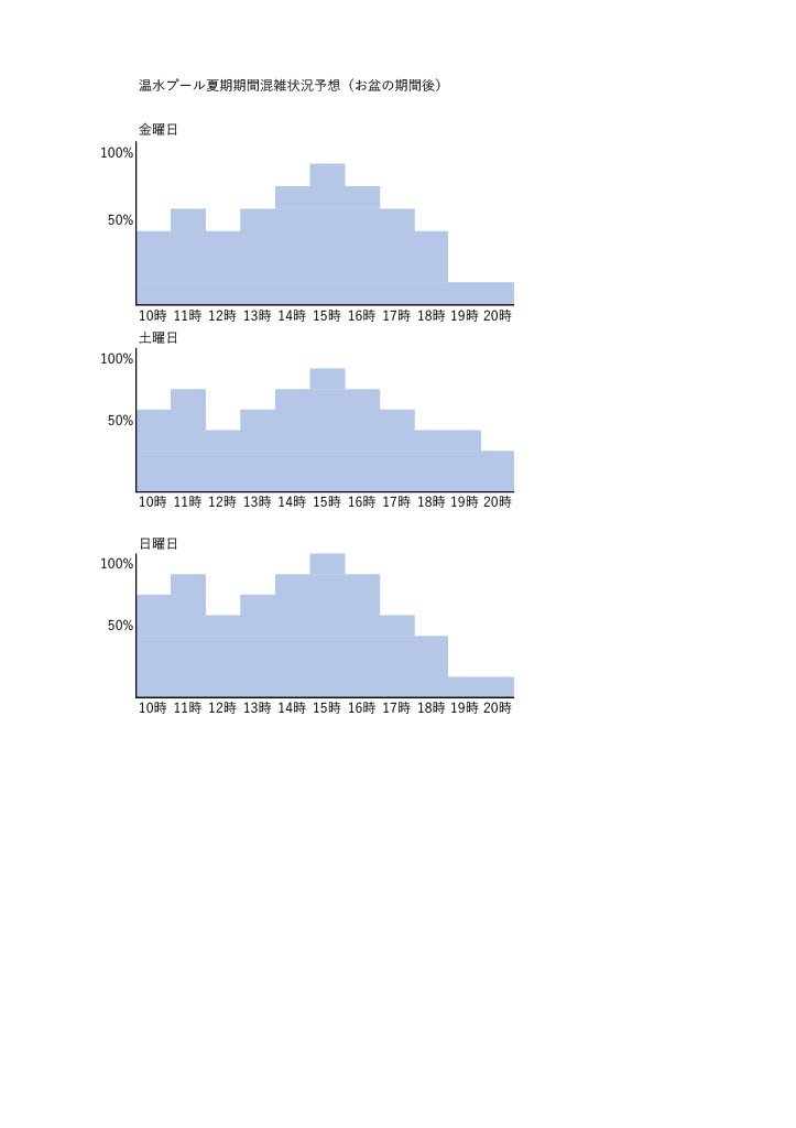
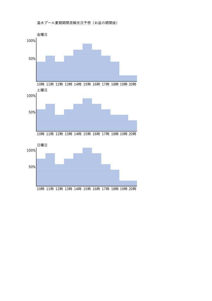
混雑予報
プラザ掛洞の温水プールのお盆以降8月19日~8月31日の混雑予想
夏期期間、お盆期間、たくさんの方にご利用いただきました。ほとんどお待ちいただくことなく、混乱もなくご利用いただけました。たいへんありがとうございます。
お盆以降の温水プールの時間混雑予想です。プールご利用の参考にご活用いただければと思います。
更衣室のロッカーキーが出払うと、帰ってくるまでお待ちいただくことがあります。
室外の岐阜市民プールも8月31日までは毎日オープンしていますが、天候によっては、室内プールに集中します。
時間予想です。あくまで予想ですので、当日の天候などにより大きく左右されますので目安としてご利用いただきたく思います。
なお、プールのご利用には、水泳帽子・水着は必要ですのでお持ちください。無いと、プール・プールサイドには入れません。

